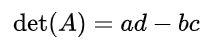
Determinantul unei matrice 2×2
Fie matricea de tip 2×2:
Determinantul acesteia este:
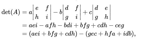
Determinantul unei matrice 3×3
Fie matricea de tip 3×3:
Dezvoltând după prima linie, obținem:
Determinantul unei matrice 4×4
Dezvoltând după prima linie determinantul de ordin k, obținem:
Determinantul unei matrice k×k
Dezvoltând după prima linie determinantul de ordin k, obținem:
Proprietăți
- Determinantul unei matrice A este egal cu determinantul matricei transpuse.
- Dacă într-o matrice pătratică se schimbă între ele două linii (sau coloane) se obține o matrice care are determinantul egal cu opusul determinantului matricei inițiale.
- Dacă elementele unei linii (sau coloane) a matricei A se înmulțesc cu un număr K , se obține o matrice C al cărei determinant este egal cu k* det A.
- Dacă elementele unei linii (sau coloane) dintr-o matrice pătratică sunt nule, atunci determinantul matricei este nul.
Calculează un determinant!