Matrice


Înmulțirea matricelor

Fie matricele Amn (are m linii si n coloane) și matricea Bxp (are x linii si p coloane)

Matricea A se poate înmulți cu matricea B dacă și numai dacă n=x, adică numărul de colane al matricei A este egal cu numărul de linii al matricei B.

Înmulțirea matricelor nu este comutativă, dar este asociativă.

Așadar, matricele care se pot înmulți sunt de formă: Amn și Bnp. Matricea rezultată are m linii si p coloane, iar elementele ei se determină cu ajutorul următoarei formule:

Exemplu 1:

Exemplu 2:

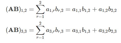
Exemplul următor prezintă cum se calculează valorile (1,2) si (3,3) ale 'AB' daca 'A' este o matrice 3×2, si 'B' o matrice 2×3. Pentru calculul unui element din matrice se consideră o linie respectiv o coloană din fiecare matrice conform săgeţilor. Elementele din acestea sunt înmulţite câte 2 conform înmulţirii pe vectori, apoi suma produselor constituie elementul din matricea finală

Exemplu 3:

Elementul neutru înmultirii unor matrice este matricea unitate In.

Orice matrice A înmulțită cu matricea unitate dă ca rezultat matricea A.


Înmulțește două matrice!