Matrice


Inversa unei matrice

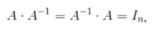
Fie A o matrice pătratică de ordinul n cu coeficienti complecşi și In matricea unitate de ordinul n.

A este inversabilă dacă există o matrice de ordin n care îndeplinește relația:

Iar acea matrice găsită se numește inversa matricei A.

Cum se află inversa matricei?

Matricea A este inversabilă dacă si numai daca det(A) este diferit de 0 (in acest caz, matricea A se numeste nesingulara sau nedegenerata).

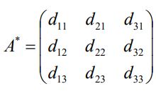
Matricea inversa a matricei A este data de formula:


Calculează inversa unei matrice!