Matrice


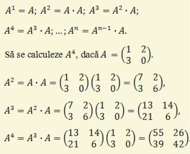
Ridicarea la putere a unei matrice

Numai matricele pătrate se pot ridica la putere.

Orice matrice de ordin n ridicată la puterea 0 da matricea unitate de ordin n, adică In care are toate valorile de pe diagonala principală 1, iar în rest numai 0.

Pentru a ridică o matrice la puterea n se înmulțește matricea de n ori.(verifică aici cum se face o înmulțire între matrice)


Ridică o matrice la putere!